Tensile and compressive stresses are sometimes referred to also as normal stresses, because they act normal to the cross section. Under this concept, tensile stresses are considered as positive normal stresses and compressive stresses as negative.
Stress Notation
Suppose a member of a structure is acted upon by forces in all directions. For convenience, let us establish a reference set of perpendicular coordinate x, y, and??z axes. Now let us take at some point in the member a small cube with sides parallel to the coordinate axes. The notations commonly used for the components of stress acting on the sides of this element and the directions assumed as positive are shown in Fig. 5.7.
For example, for the sides of the element perpendicular to the z axis, the normal component of stress is denoted by Æ’z. The shearing stress v is resolved into two components and requires two subscript letters for a complete description. The first letter indicates the direction of the normal to the plane under consideration. The second letter indicates the direction of the component of the stress. For the sides perpendicular to the z axis, the shear component in the x direction is labeled vzx and that in the y direction vzy.
Stress and Strain Components
If, for the small cube in Fig. 5.7, moments of the forces acting on it are taken a bout the x axis, considering the cubes dimensions as dx, dy, and dz, the equation of equilibrium requires that
vzy dx dy dz = vyz dx dy dz
(Forces are taken equal to the product of the area of the face and the stress at the center.) Two similar equations can be written for moments taken about the y axis and z axis. These equations show that

Two-Dimensional Stress
When the six components of stress necessary to describe the stresses at a point are known (Art. 5.3.2), the stress on any inclined plane through the same point can be determined. For the case of twodimensional stress, only three stress components need be known.
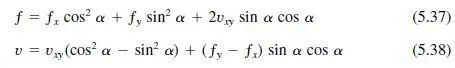
Assume, for example, that at a point O in a stressed plate, the components Æ’x, Æ’y , and vxy are known (Fig. 5.8). To find the stresses for any plane through the z axis, take a plane parallel to it close to

O. This plane and the coordinate planes from a triangular prism. Then, if is the angle the normal to the plane makes with the x axis, the normal and shearing stresses on the inclined plane, obtained by application of the equations of equilibrium, are

Note. All structural members are three-dimensional. While two-dimensionalstress calculations may be sufficiently accurate for most practical purposes, this is not always the case. For example, although loads may create normal stresses on two perpendicular planes, a third normal stress also exists, as computed with Poissons ratio. [See Eq. (5.35).]
Principal Stresses
A plane through a point on which stresses act may be assigned a direction for which the normal stress is a maximum or a minimum. There are two such positions, perpendicular to each other. And on those planes, there are no shearing stresses.
The direction in which the normal stresses become maximum or minimum are called principal directions and the corresponding normal stresses principal stresses.
To find the principal directions, set the value of v given by Eq. (5.38) equal to zero. The resulting equation is

where Æ’ and v are, respectively, the normal and sharing stress on a plane at an angle with the principal planes and Æ’x and Æ’y are the principal stresses.
Pure Shear. If on any two perpendicular planes only shearing stresses act, the state of stress at the point is called pure shear or simple shear. Under such conditions, the principal directions bisect the angles between the planes on which these shearing stresses occur. The principal stresses are equal in magnitude to the unit shearing stresses.
Maximum Shearing Stress
The maximum unit shearing stress occurs on each of two planes that bisect the
angles between the planes on which the principal stresses act. The maximum share
is equal to one-half the algebraic difference of the principal stresses:

Mohrs Circle
The relationship between stresses at a point may be represented conveniently on Mohrs circle (Fig. 5.9). In this diagram, normal stress Æ’ and shear stress v are taken as coordinates. Then, for each plane through the point, there will correspond a point on the circle, whose coordinates are the values of Æ’ and v for the plane.
To construct the circle given the principal stresses, mark off the principal stresses Æ’1 and Æ’2 on the Æ’ axis (points A and B in Fig. 5.9). Tensile stresses are measured to the right of the v axis and compressive stresses to the left. Construct a circle with its center on the Æ’ axis and passing through the two points representing the principal stresses. This is the Mohrs circle for the given stresses at the point under consideration.
Suppose now, we wish to find the stresses on a plane at an angle to the plane of Æ’1. If a radius is drawn making an angle 2 with the Æ’ axis, the coordinates of its intersection with the circle represent the normal and sharing stresses acting on the plane.
Mohrs circle an also be plotted when the principal stresses are not known but the stresses Æ’x, Æ’y , and vxy , on any two perpendicular planes, are. The procedure is to plot the two points representing these known stresses with respect to the Æ’ and v axies (points C and D in Fig. 5.10). The line joining these points is a diameter

of Mohrs circle. Constructing the circle on this diameter, we find the principal stresses at the intersection with the Æ’ axis (points A and B in Fig. 5.10).
For more details on the relationship of stresses and strains at a point, see Timoshenko and Goodier, Theory of Elasticity, McGraw-Hill Publishing Company,
New York.