Design criteria for round and rectangular hollow structural sections (HSS) used as structural members in buildings is given by AISC in Specification for the Design of Steel Hollow Structural Sections. The specification can be used for the design of the HSS materials listed in Table 1.7 and also for A53 Grade B pipe (35 ksi minimum yield stress and 60 ksi minimum tensile strength). Presented in LRFD format, the HSS Specification supplements the criteria presented in the main AISC LRFD Specification.
The HSS Specification includes provisions for the design of members and connections, including resistance to concentrated forces. A separate publication concerning connections is also available from AISC, Hollow Structural Sections Connection Manual. As noted in the HSS Specification, when the design thickness is not known, use 0.93 times nominal thickness. When water can collect inside, either during construction or in service, the sections should be sealed, provided with a drain hole at the base, or otherwise protected.
Loads
The load combinations in the AISC LRFD Specification are applicable to HSS. However, wind forces on the projected area of exposed HSS can be reduced from those used for shapes with flat elements. Multiply the wind forces by the following reduction factor, RÆ’ :
Axial Tension
LRFD design for axial tension of HSS is the same as that for other members (Art. 6.13 and Eq. 6.15). It is based on the limit states of yielding on the gross section and fracture on the effective net section.
The effective area area is determined by multiplying the area A by a U factor (Art. 6.13) defined as follows:
For a welded connection that is continuous around the perimeter, A = Ag , where Ag is the gross area and U = 1.
For connections with concentric gusset plates and slotted HSS, A = An , where the net area An at the end of the gusset plate is the gross area minus the product of the thickness and total width of material that is removed to form the slots, and

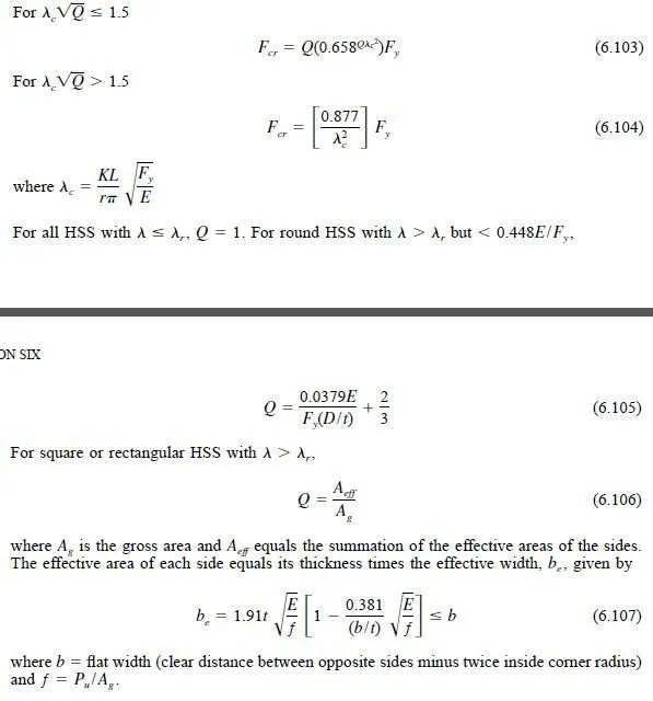
Local Buckling of HSS
As with other plate type elements, the walls of HSS are subject to local buckling when in compression from axial loads or bending (Art. 6.23). Table 6.34 gives the limits for compact sections, those that meet p , and non-compact sections, those that exceed p but meet r .
Those that exceed r are referred to as slender-element sections. For design by plastic analysis, p requirements for compact sections are more severe as indicated in Table 6.34. Additionally, to account for cyclic effects, the requirements of the AISC Seismic Provisions for Structural Steel Buildings apply in seismic applications.
Axial Compression
Effective length factors can be either determined from rational analysis or taken as given in the AISC HSS Specification. In trusses with HSS branch (web) members welded around their full perimeter to continuous HSS chord members, K = 0.75 for branch members and K = 0.9 for chord members. In trusses made with HSS branch members that do not meet such requirements, or with non-HSS branch members connected to continuous HSS chord members, K = 1.0 for branch members and K 0.9 for chord members. In frames for which lateral stability is provided by diagonal bracing, shear walls or equivalent means, K = 1. In 
frames for which lateral stability is dependent upon the flexural stiffness of rigidly connected beams and columns, K must be determined by rational analysis.
Design strength for flexural buckling is determined by a procedure similar to that of Art. 6.10.2 using Eq. 6.39. However, in determining the critical stress, Fcr, a Q factor is introduced to account for local buckling effects. The provisions of the HSS Specification are as follows:

Flexure


There is no limit on unbraced length of flexural members for HSS structures designed by elastic analysis. For design by plastic analysis the AISC Specification for the Design of Steel Hollow Structural Sections imposes a restriction on the unbraced length adjacent to certain plastic hinge locations for rectangular sections bent about their major axis. Such design also requires compact sections.
Transverse Shear

Torsion

Combined Flexure and Axial Force
HSS members under combined bending and axial force are subject to the same LRFD design
requirements as other members (see Art. 6.19.1, Eqs. 6.65 6.66, and Art. 6.20). In these interaction equations the effects of bending moments about the x and y axis are additive, and this can be very conservative for round HSS. Therefore, for round HSS members in biaxial flexure, laterally unbraced with the same effective length factor for any direction of loading, it is permissible to replace the moment ratios in Eqs. 6.65 - 6.66 with a single

Where the required torsional strength is significant, an interaction equation that considers torsion, transverse shear, axial force, and flexure is given in the AISC Specification for the Design of Steel Hollow Structural Sections.
Other Considerations for HSS
Because of their shape, the calculation of the design strength of HSS sections subjected to concentrated loads differs from that of wide flange sections. Equations for making such calculations are given in the AISC Specification for the Design of Steel Hollow Structural Sections. Also given are general provisions for designing connections and fasteners which modify or supplement the provisions in the AISC LRFD Specification. A section on connection of HSS members to form a truss is included.
