Hydrostatics
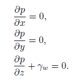
As already mentioned in earlier chapters, the stress distribution in groundwater at rest follows the rules of hydrostatics. More precise it can be stated that in the absence of flow the stresses in the fluid in a porous medium must satisfy the equations of equilibrium in the form 
Here it has been assumed that the z-axis is pointing vertically upward. The quantity Yw is the volumetric weight of the water, which is Yw ~ 10 kN/m3. It has further been assumed that there are no shear stresses in the water. This is usually a very good approximation. Water is a viscous fluid, and shear stresses may occur in it, but only when the fluid is moving, and it has been assumed that the water is at rest. Furthermore, even when the fluid is moving the shear stresses are very small compared to the normal stress, the fluid pressure.
The first two equations in (6.1) mean that the pressure in the fluid can not change in horizontal direction.
This is a consequence of horizontal equilibrium of a fluid element, see Figure 6.1. Equilibrium in vertical direction requires that the difference of the fluid pressures at the top and bottom of a small element balances
![]()
The value of the volumetric weight w in the last of eqs. (6.1) need not be constant for the equations to be valid. If the volumetric weight is variable the equations are still valid. Such a variable density may be the result of variable salt contents in the water, or variable temperatures. It may even be that the density is discontinuous, for instance, in case of two different fluids, separated by a sharp interface. This may happen for oil and water, or fresh water and salt water. Even in those cases the equations (6.1) correctly express equilibrium of the fluid. In soil mechanics the fluid in the soil usually is water, and it can often be assumed that the groundwater is homogeneous, so that the
volumetric weight w is a constant. In that case the system of equations (6.1) can be integrated to give
![]()
where C is an integration constant. Equation (6.2) means that the fluid pressure is completely known if the integration constant C can be found. For this it is necessary, and sufficient, to know the water pressure in a single point. This may be the case if the phreatic surface has been observed at some location. In that point the water pressure p = 0 for a given value of z.
The location of the phreatic surface in the soil can be determined from the water level in a ditch or pond, if it is known that there is no, or practically no, groundwater flow. In principle the phreatic surface could be determined by digging a hole in the ground, and then wait until the water has come to rest. It is much more accurate, and easier, to determine the phreatic surface using an open standpipe, see Figure 6.2. A standpipe is a steel tube, having a diameter of for instance 2.5 cm, with small holes at the bottom, so that the water can rise in the pipe. Such a pipe can easily be installed into the ground, by pressing or eventually by hammering it into the ground. The diameter of the pipe is large enough that capillary effects can be disregarded. After some time, during which the water has to flow from the ground into the pipe, the level of the water in the standpipe indicates the location of the phreatic surface, for the point of the pipe. Because this water level usually is located below ground surface, it can not be observed with the naked eye. The simplest method to measure the water level in the standpipe is to drop a small iron or copper weight into the tube, at the end of a flexible cord. As soon as the weight touches the water surface, a sound can be heard, especially by holding an ear close to the end of the pipe. The depth of the water can be determined by measuring the length of the cord that went into the standpipe. Of course, the measurement can also be made by accurate electronic measuring devices. Electronic pore pressure meters measure the pressure in a small cell, by a flexible membrane and a strain gauge, glued onto the membrane. The water presses against the membrane, and the strain gauge measures the small deflection of the membrane. This can be transformed into the value of the pressure if the device has been calibrated before.
Groundwater flow
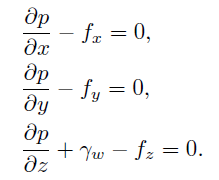
The hydrostatic distribution of pore pressures is valid when the groundwater is at rest. When the groundwater is flowing through the soil the pressure distribution will not be hydrostatic, because then the equations of equilibrium (6.1) are no longer complete. The flow of groundwater through the pore space is accompanied by a friction force between the flowing fluid and the soil skeleton, and this must be taken into account. This friction force (per unit volume) is denoted by f . Then the equations of equilibrium are
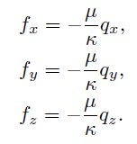
Here fx, fy and fz are the components of the force, per unit volume, exerted onto the soil skeleton by the flowing groundwater. The sign of these terms can be verified by considering the equilibrium in one of the directions, say the x-direction, see Figure 6.3. If the pressure increases in x-direction there must be a force in positive x-direction acting on the water to ensure equilibrium. Both terms in the equation of equilibrium then are positive, so that they cancel. It may be mentioned that in the equations the accelerations of the groundwater might also be taken into account. This could be expressed by terms of the form ax, ay en az in the right hand sides of the equations. Such terms are usually very small, however. It may be noted that the velocity of flowing groundwater usually is of the order of magnitude of 1 m/d, or smaller. If such a velocity would be doubled in one hour the acceleration would be (1/24) × (1/3600)2 m/s2, which is extremely small with respect to the acceleration of gravity g, which also appears in the equations. In fact the acceleration terms would be a factor 3 × 108 smaller, and therefore may be neglected. It seems probable that the friction force between the particles and the water depends upon the velocity of the water, and in particular such that the force will increase with increasing velocity, and acting in opposite direction. It can also be expected that the friction force will be larger, at the same velocity, if the viscosity of the fluid is larger (the fluid is then more sticky). From careful measurements it has been established that the relation between the velocity and the friction force is linear, at least as a very good first approximation. If the soil has the same properties in all directions (i.e. is isotropic) the relations are

Here qx, qy and qz are the components of the specific discharge, that is the discharge per unit area. The precise definition of qx is the discharge
(a volume per unit time) through a unit area perpendicular to the x-direction, qx = Q/A, see Figure 6.4. This quantity is expressed in m3/s per m2, a discharge per unit area. In the SI-system of units that reduces to m/s. It should be noted that this is not the average velocity of the groundwater, because for that quantity the discharge should be divided by the area of the pores only, and that area is a factor n smaller than the total area. The specific discharge is proportional to the average velocity, however,
v = q/n.
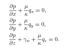
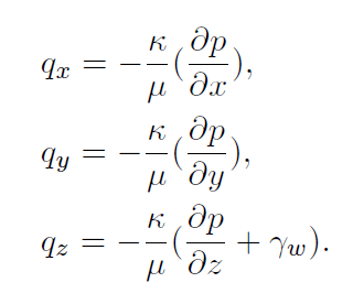
The fact that the specific discharge is expressed in m/s, and its definition is a discharge per unit area, may give rise to confusion with the velocity. This confusion is sometimes increased by denoting the specific discharge q as the filter velocity, the seepage velocity or the Darcian velocity. Such terms can better be avoided: it should be denoted as the specific discharge It may be interesting to note that in the USA the classical unit of volume of a fluid is the gallon (3.785 liter), so that a discharge of water is expressed in gallon per day, gpd. An area is expressed in square foot (1 foot = 30 cm), and therefore a specific discharge is expressed in gallons per day per square foot (gpd/sqft). That may seem an antique type of unit, but at least it has the advantage of expressing precisely what it is: a discharge per unit area. There is no possible confusion with a velocity, which in the USA is usually expressed in miles per hour, mph. Equation (6.4) expresses that there is an additional force in the equations of equilibrium proportional to the specific discharge (and hence proportional to the velocity of the water with respect to the particles, as intended). The constant of proportionality has been denoted by µ/, where µ is the dynamic viscosity of the fluid, and is the permeability of the porous medium. The factor 1/ is a measure for the resistance of the porous medium. In general it has been found that is larger if the size of the pores is larger. When the pores are very narrow the friction will be very large, and the value of will be small. Substitution of equations (6.4) into (6.3) gives

In contrast with equations (6.1), which may be used for an infinitely small element, within a single pore, equations (6.6) represent the equations of equilibrium for an element containing a sufficiently large number of pores, so that the friction force can be represented with sufficient accuracy as a factor proportional to the average value of the specific discharge. It may be noted that the equations (6.6) are also valid when the volumetric weight w is variable, for instance due to variations of salt content, or in the case of two fluids (e.g. oil and water) in the pores. That can easily be demonstrated by noting that these equations include the hydrostatic pressure distribution as the special case for zero specific discharge, i.e. for the no flow case.
The equations (6.6) can also be written as

These equations enable to determine the components of the specific discharge if the pressure distribution is known. The equations (6.7) are a basic form of Darcy’s law. They are named after the city engineer of the French town Dijon, who developed that law on the basis of experiments in 1856. Darcy designed the public water works of the town of Dijon, by producing water from the ground in the center of town. He realized that this water could be supplied from the higher areas surrounding the town, by flowing through the ground. In order to assess the quantity that could be produced he needed the permeability of the soil, and therefore measured it. The grateful citizens of Dijon honored him by erecting a monument, and by naming the central square of the town the Place Henry Darcy. The equations (6.7) are generally valid, also if the volumetric weight Yw of the fluid is not constant. In civil engineering many problems are concerned with a single fluid, fresh water, and the volumetric weight can then be considered as constant. In that case it is convenient to introduce the groundwater head h, defined as
h = z + p / Yw
If the volumetric weight w is constant it follows that
It is sometimes denoted as the coefficient of permeability. The permeability then should be denoted as the intrinsic permeability to avoid confusion.
Darcy himself wrote his equations in the simpler form of eq. (6.10). For engineering practice that is a convenient form of the equations, because the groundwater head h can often be measured rather simply, and because the equations are of a simple character, and are the same in all three directions. It should be remembered, however, that the form 6.7 is more fundamentally correct. If the volumetric weight w is not constant, only the equations (6.7) can be used. The definition (6.8) then does not make sense. The concept of groundwater head can be illustrated by considering a standpipe in the soil, see Figure 6.6. The water level in the standpipe, measured with respect to a certain horizontal level where z = 0, is the groundwater head h in the point indicated by the open end of the standpipe. In the standpipe the water is at rest, and therefore the pressure at the bottom end of the pipe is p = (h-z) w, so that h = z+p/ w, in agreement with (6.8). When the groundwater head is the same in every point of a soil mass, the groundwater will be at rest. If the head is not constant, however, the groundwater will flow, and according to eq. (eq:darcy:qh) it will flow from locations with a large head to locations where the head is low. If the groundwater head difference is not maintained by some external influence (rainfall, or wells) the water will tend towards a situation of constant head. Darcy’s law can be written in an even simpler form if the direction of flow is known, for instance if the water is flowing through a narrow tube, filled with soil. The water is then forced to flow in the direction of the tube. If that directions is the s-direction, the specific discharge in that direction is, similar to (6.10),
q = -k (dh/ds)
The quantity dh/ds is the increase of the groundwater head per unit of length, in the direction of flow. The minus sign expresses that the water flows in the direction of decreasing head. This is the form of Darcy’s law as it is often used in simple flow problems. The quantity dh/ds is called the hydraulic gradient i,
i = dh / ds
It is a dimensionless quantity, indicating the slope of the phreatic surface.
Seepage force
It has been seen that the flow of groundwater is accompanied by a friction between the water and the particles. According to (6.3) the friction force (per unit volume) that the particles exert on the water is
The seepage force is especially important when considering local equilibrium in a soil, for instance when investigating the conditions for internal erosion, when some particles may become locally unstable because of a high flow rate.

