As in other materials, stresses may act in soils as a result of an external load and the volumetric weight of the material itself. Soils, however, have a number of properties that distinguish it from other materials. Firstly, a special property is that soils can only transfer compressive normal stresses, and no tensile stresses. Secondly, shear stresses can only be transmitted if they are relatively small, compared to the normal stresses. Furthermore it is characteristic of soils that part of the stresses is transferred by the water in the pores. This will be considered in detail in this chapter.
Because the normal stresses in soils usually are compressive stresses only, it is standard practice to use a sign convention for the stresses that is just opposite to the sign convention of classical continuum mechanics, namely such that compressive stresses are considered positive, and tensile stresses are negative. The stress tensor will be denoted by . The sign convention for the stress components is illustrated in Figure 4.1. Its formal definition is that a stress component is positive when it acts in positive coordinate direction on a plane with its outward normal in negative coordinate direction, or when it acts in negative direction on a plane with its outward normal in positive direction. This means that the sign of all stress components is just opposite to the sign that they would have in most books on continuum mechanics or applied mechanics.
continuum mechanics or applied mechanics.
It is assumed that in indicating a stress component ij the first index denotes the plane on which
the stress is acting, and the second index denotes the direction of the stress itself. This means, for
instance, that the stress component xy indicates that the force in y-direction, acting upon a plane having its normal in the x-direction is
, where Ax denotes the area of the plane surface. The minus sign is needed because of the special sign convention of soil mechanics,
assuming that the sign convention for forces is the same as in mechanics in general.

Pore pressures
Soil is a porous material, consisting of particles that together constitute the grain skeleton. In the pores of the grain skeleton a fluid may be present: usually water. The pore structure of all normal soils is such that the pores are mutually connected. The water fills a space of very complex form, but it constitutes a single continuous body. In this water body a pressure may be transmitted, and the water may also flow through the pores. The pressure in the pore water is denoted as the pore pressure. In a fluid at rest no shear stresses can be transmitted. This means that the pressure is the same in all directions. This can be proved by considering the equilibrium conditions of a very small triangular element, see Figure 4.2, bounded by a vertical plane, a horizontal plane and a sloping plane at an angle of 45. If the pressure on the vertical plane at the right is p, the force on that plane is pA, where A is the area of that plane. Because there is no shear stress on the lower horizontal plane, the horizontal force pA must be equilibrated by a force component on the sloping plane. That component must therefore also be pA. Because on this plane the shear stress is also zero, as on all surfaces, it follows that the vertical force component must be pA, in order that the resulting force on the plane is perpendicular to it. This vertical force must be in equilibrium with the vertical force on the lower horizontal plane of the element. Because the area of that element is also A, the pressure on that plane is p, equal to the pressure on the vertical plane. Using a little geometry it can be shown that this pressure p acts on every plane through the same point. This is often denoted as Pascal’s principle. If the water is at rest (i.e. when there is no flow of the water), the pressure in the water is determined by the depth of the point considered with respect to the water surface. As shown by Simon Stevin, a great engineer from The Netherlands in the 16th century, the magnitude of the

water pressure on the bottom of a container filled with water, depends only upon the height of the column of water and the volumetric weight of the water, and not upon the shape of the container, see Figure 4.3. The pressure at the bottom in each case is
![]()
where Yw is the volumetric weight of the water, and d is the depth below the water surface. The total vertical force on the bottom is YwdA. Only in case of a container with vertical sides this is equal to the total weight of the water in the container. Stevin showed that for the other types of containers illustrated in Figure 4.3 the total force on the bottom is also YwdA. This can be demonstrated by considering equilibrium of the water body, taking into account that the pressure in every point on the walls must always be perpendicular to the wall. The container at the extreme right in Figure 4.3 resembles a soil body, with its pore space. It can be concluded that the water in a soil satisfies the principles of hydrostatics, provided that the water in the pore space forms a continuous body.
Effective stress
On an element of soil normal stresses as well as shear stresses may act. The simplest case, however, is the case of an isotropic normal stress, see Figure 4.4. It is assumed that the magnitude of this stress, acting in all directions, is . In the interior of the soil, for instance at a cross section in the center, this stress is transmitted by a pore pressure p in the water, and by stresses in the particles. The stresses in the particles are generated partly by the concentrated forces acting in the contact points between the particles, and partly by the pressure in the water, that almost completely surrounds the particles. It can be expected that the deformations of the particle skeleton are almost completely determined by the concentrated forces in the contact points, because the structure can deform only by sliding and rolling in these contact points. The pressure in the water results in an equal pressure in all the grains. It follows that this pressure acts on the entire surface of a cross section, and that by subtracting p from the total stress a measure for the contact forces is obtained. It can also be argued that when there are no contact forces between the particles, and a pressure p acts in the pore water, this same pressure p will also act in all the particles, because they are completely surrounded by the pore fluid. The deformations in this case are the compression of the particles and the water caused by this pressure p. Quartz and water are very stiff materials, having an elastic modulus about 1/10 of the elastic modulus of steel, so that the deformations in this case are very small (say 10-6), and can be disregarded with respect to the large deformations that are usually observed in a soil (10-3 to 10-2).
These considerations indicate that it seems meaningful to introduce the difference of the total stress and the pore pressure p,

The quantity 0 is denoted as the effective stress. The effective stress is a measure for the concentrated forces acting in the contact points of a granular material. If p = it follows that 0 = 0, which means that then there are no concentrated forces in the contact points. This does not mean that the stresses in the grains are zero in that case, because there will always be a stress in the particles equal to the pressure in the surrounding water. The basic idea is, as stated above, that the deformations of a granular material are almost completely determined by changes of the concentrated forces in the contact points of the grains, which cause rolling and sliding in the contact points. These are described (on the average) by the effective stress, a concept introduced by Terzaghi. Eq. (4.2) can, of course, also be written as

Terzaghi’s effective stress principle is often quoted as “total stress equals effective stress plus pore pressure”, but it should be noted that this applies only to the normal stresses. Shear stresses can be transmitted by the grain skeleton only.
It may be noted that the concept is based upon the assumption that the particles are very stiff compared to the soil as a whole, and also upon the assumption that the contact areas of the particles are very small. These are reasonable assumptions for a normal soil, but for porous rock they may not be valid. For rock the compressibility of the rock must be taken into account, which leads to a small correction in the formula.
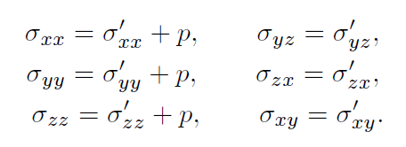
To generalize the subdivision of total stress into effective stress and pore pressure it may be noted that the water in the pores can not contribute to the transmission of shear stresses, as the pore pressure is mainly isotropic. Even though in a flowing fluid viscous shear stresses may be developed, these are several orders of magnitude smaller than the pore pressure, and than the shear stresses than may occur in a soil. This suggests that the generalization of (4.3) is

This is usually called the principle of effective stress. It is one of the basic principles of soil mechanics. The notation, with the effective stresses being denoted by an accent, 0, is standard practice. The total stresses are denoted by , without accent.

Even though the equations (4.4) are very simple, and may seem almost trivial, different expressions may be found in some publications, especially relations of the form = 0 + np, in which n is the porosity. The idea behind this is that the pore water pressure acts in the pores only, and that
therefore a quantity np must be subtracted from the total stress to obtain a measure for the stresses in the particle skeleton. That seems to make sense, and it may even give a correct value for the average stress in the particles, but it ignores that soil deformations are not in the first place determined by deformations of the individual particles, but mainly by changes in the geometry of the grain skeleton. This average granular stress might be useful if one wishes to study the effect of stresses on the properties of the grains themselves (for instance a photo-elastic or a piezo-electric effect), but in order to study the deformation of soils it is not useful. Terzaghi’s notion, that the soil deformations are mainly determined by the contact forces only, leads directly to the concept of effective stress, because only if one writes 0 = – p do the effective stresses vanish when there are no contact forces. The pore pressure must be considered to act over the entire surface to obtain a good measure for the contact forces, see Figure 4.6. The equations (4.4) can be written in matrix notation as

in which Sij is the Kronecker delta, or the unit matrix. Its definition is

Archimedes and Terzaghi
This is identical to the expression (4.7). Terzaghi’s principle of effective stress appears to be in agreement with the principle of Archimedes, which is a fundamental principle of physics. It may be noted that in the two methods it has been assumed that the determining factor is the force transmitted between the particles and an eventual rigid surface, or the force transmittance between the grains. This is another basic aspect of the concept of effective stress, and it can be concluded that Archimedes’ principle confirms the principle of effective stress.Terzaghi’s approach, leading to the expression (4.8), is somewhat more direct, and especially more easy to generalize. In this method the porosity n is not needed, and hence it is not necessary to determine the porosity to calculate the effective stress. On the other hand, the porosity is hidden in the volumetric weight s. It is important, however, to realize that Terzaghi’s principle is in agreement with Archimedes’ principle for incompressible particles, because Archimedes’ principle is so basic in theoretical physics. Terzaghi’s idea of the effective stress, being the part of the total stress that is responsible for the soil deformations, and can be determined by subtracting the pore water pressure from the total stress, is the main reason for Terzaghi to be condidered as the father of soil mechanics. It is a typical example of good engineering, be
ing a very good approximation of scientific truth (not exact, because it is assumed that the particles are completely incompressible), and very useful, and convenient, for engineering practice. The generalization of Terzaghi’s approach to more complicated cases, such as non-saturated soils, or flowing groundwater, is relatively simple. For a non-saturated soil the total stresses will be smaller, because the soil is lighter.

The pore pressure remains hydrostatic, and hence the effective stresses will be smaller, even though there are just as many particles as in the saturated case. The effective principle can also be applied in cases involving different fluids (oil and water, or fresh water and salt water). In the case of flowing groundwater the pore pressures must be calculated separately, using the basic laws of groundwater flow. Once these pore pressures are known they can be subtracted from the total stresses to obtain the effective stresses. The procedure for the determination of the effective stresses usually is that first the total stresses are determined, on the basis of the total weight of the soil and all possible loads. Then the pore pressures are determined, from the conditions on the groundwater. Then finally the effective stresses are determined by subtracting the pore pressures from the total stresses.
