The term `stress corrosion’ stands for the process of crack initiation and crack propagation under the influence of a specific corrosive environment and static tensile stresses. It is characterised by cracking without deformation, often without apparent steel degradation and without visible corrosion products. The residual internal stresses already present contribute to the tensile stresses necessary for cracking. Contrary to other types of corrosion, the failure of construction elements due to cracking is not necessarily connected to any noticeable earlier damage. The brittle stress corrosion fracture initiates at one or more points on the steel surface perpendicular to the applied normal stress (Fig. 6.5). An ellipsoidal initial fracture zone is distinguished, which represents the region of crack initiation, together with a zone of crack propagation over the remainder of the fracture surface.
Anodic stress corrosion cracking
In the presence of nitrate-containing, non-alkaline electrolytes (pH-value < 9) unalloyed and low-alloy steels may suffer from anodic stress corrosion cracking. Crack formation and crack propagation are due to selective metal dissolution (e.g., along grain boundaries of the steel structure) with simultaneous high tensile stresses.6 In certain uses of prestressed concrete, e.g. fertiliser storage and stable buildings, the environmental conditions causing this kind of cracking can be anticipated. For brickwork in stables, saltpetre Ca(NO3)2 may be formed by urea. In the presence of moisture, the nitrates may diffuse into the concrete and may cause stress corrosion cracking in pretensioned concrete components, affecting the tension wires if the concrete cover is carbonated, which occurs in poor quality concrete.16,17 Nitrate sensitivity is a pre-condition for anodic stress corrosion cracking in prestressing steels. Low-carbon steels are very susceptible to nitrate-induced stress corrosion cracking. The prestressing steels currently in use, however, are highly resistant to this type of corrosion.18
Hydrogen-induced stress corrosion cracking
Mechanism
Fractures in prestressing steel that are referred to as hydrogen-induced stress corrosion cracking (H-SCC) may occur during the erection of the construction or during later use. The following conditions are necessary:
· a sensitive material or appropriate environmental conditions
· a sufficient tensile load and
· at least a partial corrosion attack.
The risk of fracture due to H-SCC therefore results from a combination of the properties of the prestressing steel and environmental parameters. No special agent is needed for crack initiation: water or condensation water may suffice.20,23 What is required for H-SCC is the presence of adsorbed atomic hydrogen, which is present under certain corrosion conditions in neutral and, particularly, acidic aqueous media through the cathodic partial reaction within corrosion cells.
During the corrosion process, hydrogen atoms are released from the water and then absorbed by the steel. In prestressing steels, hydrogen under mechanical stresses can create precracks in critical structural areas such as grain boundaries. These cracks may grow and result in fracture (Fig. 6.6). Atomic hydrogen released on the steel surface can be absorbed and enriched by diffusion in multiaxially stretched plastic zones, crack tips, corrosion pits and precipitates in the steel structure. Reduction in the cohesive strength of the metal lattice permits sufficient concentrations of hydrogen to dissolve in critical regions of the steel, which can cause the development of very fine cracks, resulting in `sub-critical’ crack growth. In the case of prestressing steel, the development of this type of damage is influenced by the susceptibility of the alloy. Stress corrosion tests performed in solutions containing thiocyanate (SCNÿ) determine the relative susceptibility of prestressing steels (Section 6.6). One can assume that the more sensitive a prestressing steel is to H-SCC, the lower the critical content of hydrogen that will lead to crack propagation. Increasing the hydrogen content of the steel and increasing tension will promote hydrogen-assisted cracking, but there are steels that do not inevitably fail under the influence of high hydrogen content.
Special conditions have to exist to activate the formation of absorbable hydrogen. To understand the correlations between procedures on site and development of damage, the chemical reactions of corrosion should be considered (Table 6.4). Harmful hydrogen can arise only:
· if the steel surface is in an active state or depassivated (this is expressed by reaction 1 in Table 6.4)
· if the cathodic reaction of corrosion is discharging hydrogen ions (this is described by reaction 3 in Table 6.4) or water decomposition (this is described by reaction 4 in Table 6.4) and
· if the adsorbed atomic hydrogen is not changed into the molecular state (see reaction 5 in Table 6.4).
A reduction in available oxygen may encourage formation of adsorbed atomic hydrogen (which hinders reaction 6 in Table 6.4). At the surface of corroding steel, the amount of absorbable hydrogen atoms rises:

· with increasing hydrogen concentration (reaction 3 or 4 is accelerated)
· in the presence of so-called promoters (reaction 5 is hindered)
· in an electrolyte with low oxygen concentration (reaction 6 is hindered).
From a practical point of view, hydrogen-assisted damage is favoured:
· in acid media (reaction 3 is accelerated) or if the steel surface is polarised to low potentials, e.g. if the prestressing steel has contact with zinc or galvanised steel (reaction 4 is possible)
· in the presence of promoters such as sulfides, thiocyanates or compounds of arsenic or selenium (reaction 5 is hindered) or
· in crevices, because the electrolyte in the crevice will have a low oxygen concentration (reaction 6 is hindered).


In concrete structures, the attacking medium is mostly alkaline, and acids are rare. The promoters mentioned above are significant factors, however, as they prevent the recombination of hydrogen atoms to form molecular hydrogen. For prestressing steels, sulfides and thiocyanates are particularly important.3,20,24±26 Contaminants or active ingredients in building materials which act as promoters for hydrogen absorption can accelerate crack initiation in sensitive steels considerably, even at very low concentrations.25,27,28 Such substances dissolved in water are used to test how susceptible prestressing steels are to hydrogen- induced cracking.
In natural environments pitting-induced H-SCC can occur (Fig. 6.7). Pitting- induced H-SCC is when a crack initiates in a corrosion pit on the steel surface. Corrosion pits often form under drops of water and where alkaline salt-enriched media are found in concrete constructions (e.g., partly carbonated bleeding water), (Table 6.3). In the corrosion pits, the pH falls because the Fe2+-ions are hydrolysed.

![]()
Pitting or spots of local corrosion can be explained by differential aeration or concentration cells. Condensation water and salt-enriched aqueous solution (bleed water, Section 6.4.1) that occur when erecting constructions are the most significant threat.
In prestressed construction, local corrosion attacks are due to carbonation of concrete and mortar, or chloride contamination. In the case of sensitive pre- stressing steel, all but minimal concentrations of hydrogen can lead to irrever- sible damage, and a local corrosion attack too small to produce visible corrosion products on the steel surface may lead to fracture. All types of uneven local corrosion should be prevented to exclude failures due to hydrogen-assisted cracking. The occurrence of pulsating low frequency loads or service-related strain changes in the steels, including those at low strain rates, will also raise the risk of failure because these conditions favour the absorption of atomic hydrogen and thus H-SCC.29
Figure 6.8 compares the behaviour of a quenched and tempered prestressing steel sensitive to hydrogen in a stress corrosion cracking test with and without low amplitude (30±80 N/mm2) fatigue loading.30 The aqueous test solution contained 5 g/l SO4 2ÿ and 0.5 g/l Clÿ with and without 1 g/l SCNÿ as a promoter for hydrogen absorption. The stress corrosion cracking test under static stress was carried out at 80% of the tensile strength. This stress corresponds to the constant maximum stress in the tensile fatigue test. Figure 6.8 represents the stress cycle number as a function of the amplitude, calculated at frequency f ˆ 5 sÿ1, against lifetime in hours. The hydrogen-insensitive steel in the promoter-containing solution failed within a test period of 5000 hours in the static test, but did not fail in the promoter-free solution. In a low-amplitude fatigue test, the lifetime in the promoter-containing solution decreased progres- sively with rising amplitude. In the case of alternating stress, it is striking that fractures also occurred in steels in the promoter-free solution. These tests led to the conclusion that fatigue loadings at low amplitude or elongations tend to significantly increase the susceptibility of prestressing steels to stress corrosion cracking.

Susceptibility of prestressing steel
In the case of sensitive prestressing steel, the presence of very small amounts of hydrogen can lead to irreversible damage. Therefore the susceptibility of the steel to hydrogen is of enormous importance and prestressing steels are investi- gated using special stress corrosion tests (Section 6.6). The susceptibility of prestressing steels to hydrogen embrittlement depends on the chemical composition of the steel, the production process and subsequent treatment (e.g., thermal treatment). All types of prestressing steels mentioned in Section 6.3 (hot-rolled, quenched and tempered, cold-deformed steel) can be used without fear of corrosion problems if optimal characteristics are achieved. On the other hand, problems can occur with all types of steel if individual patches show production-induced deviations from optimal characteristics.
Some differences in susceptibility to hydrogen embrittlement between different steel types can be attributed to differences in their microstructures.6,19 Hydrogen in the steel tends to diffuse to sites where the microstructure allows the largest degree of disturbance, i.e. to lattice imperfections and especially to the grain boundaries. Hydrogen-induced cracks frequently run along the grain boundaries of the steel and, at the micro-level, are intergranular. Steel types where the majority of the grain boundaries are perpendicular to the applied forces are most at risk. This group includes hot-rolled and quenched and tempered steels. In the latter case, the austenite grain boundaries are of concern. In the case of cold-formed wires and strands, the deformed grain boundaries run predominantly in the direction of the applied force, hence the weakest points in the structure are not predominantly subjected to the most unfavourable effects of stress. This explains why, in the presence of high hydrogen supply, cold-drawn wires and strands manufactured from these types of wires perform better than hot-rolled and quenched and tempered steel.31
Substantial variability in susceptibility to H-SCC can be observed in different types of steel, depending on composition and/or thermal treatment. Sensitivity of steel structures to hydrogen embrittlement increases in the following order: pearlitic grades, quenched and tempered, bainitic steels formed by continuous cooling, and finally martensitic structures.6 Because of the high sensitivity of martensitic steel, it is not used where there is any risk of hydrogen-induced stress corrosion cracking. Prestressing steels with bainitic structures have resulted in numerous structural failures (see Section 6.5) and the use of this steel in construction is no longer permitted.
With quenched and tempered steel, the martensite content can increase susceptibility to cracking due to internal stresses. The hardening and tempering process (thermal treatment) has a substantial influence on sensitivity to hydrogen.23 In order to reduce this sensitivity, newer types of quenched and tempered prestressing steel have lower carbon content and added chromium. These modifications improve the through-hardening and tempering properties, and result in traces of residual martensite being practically excluded. In the new type of quenched and tempered prestressing steel, manganese content was decreased and silicon content was increased. As a consequence absorption, solubility and diffusivity of hydrogen was considerably diminished.32,33
Hydrogen sensitivity in prestressing steel is frequently related to the influence of segregating elements, and in particular their elimination from the grain boundaries or from their vicinity.19 In particular this sensitivity is increased due to an interaction between hydrogen and the segregation products of phosphorus (P), antimony (Sb), tin (Sn), sulfur as sulfides (S) and arsenic (As).34 The sulfur and arsenic compounds work as promoters for hydrogen absorption in the steel. In order to minimise harmful non-metallic inclusions and segregation at grain boundaries, substantial modifications of the production technology for prestressing steels have been made over the last 35 years to reduce the content of residual and trace elements. Today, sulfur and phosphorus are usually well below 0.015% and the arsenic content is below 0.005%.
The hardness or strength of steel is a major variable characteristic in pre- stressing steels that influences the susceptibility to hydrogen-induced stress corrosion. Figure 6.9 shows the results of stress corrosion tests on high strength unalloyed steel in relation to hardness and tensile stress. Prestressing steels are situated in the Vickers hardness range of approximately HV 350 to HV 600. With decreasing tensile stress and decreasing hardness, service life increases. At constant stress, service life decreases in relation to hardness approximately as follows:
HV 250 : HV 350 : HV 450 : HV 550 ˆ= 1265 : 60 : 6 : 1
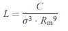
For prestressing steels in a certain steel grade (hot-rolled, quenched and tempered, cold-formed), the influence of hydrogen on crack formation increases with increasing strength6,7,19,22,23 (Fig. 6.10). According to the relationship:35,36
![]()
the lifetime L decreases with the 3rd power of the stress and the 9th power of the strength Rm (the factor C is a characteristic value for the material stability in the medium concerned). It has been shown, using the example of a hot-rolled prestressing steel and a required prestress of 800 N/mm2, using greater amounts of a low strength steel offers higher security against hydrogen-induced corrosion cracking than using smaller amounts of a high-strength steel.37 Steel St 835/ 1030 had a 6.5 times longer service life at a higher stress level (0.75 Rm) than steel St 1080/1230 at a lower stress level (0.60 Rm).
These results suggest that increasing strength goes with an increased tend- ency towards hydrogen-induced stress corrosion in the presence of corrosion- promoting influences (water, carbonated concrete, chloride). Our own as- sessment of numerous stress corrosion tests conducted in accordance with the FIP-standard (see Section 6.6.2) showed that increasing the strength of cold- deformed steel from 1700 to 2000 N/mm2 leads to a drop in the service life by a factor of 100. Based on these results, suggested maximum strengths for different steel types are:6
· hot-rolled ~ 1400 N/mm2
· quenched and tempered ~ 1700 N/mm2
· cold-drawn ~ 1950 N/mm2
As a result of this, the maximum strength of prestressing steels is limited in Germany, and since about 1980 high strength steel rods St 1080/1320 (St 110/ 135) have been taken out of the prestressing steel market for the above reasons. The German objection to the new European standard for prestressing steels EN 10138 is for the same reasons.38 In particular, German authorities object to the strength increase of cold-formed wires and strands produced particularly by some West European manufacturers of prestressing steel. It is recognised that this remains a controversial area which requires further investigation through such projects as the European COST Action 534 `New Materials and Systems for Prestressed Concrete Structures’.