Like the modified slump test, the SLump Rate Machine (SLRM) introduces the variable of time to the standard slump test in order to obtain more information about concrete rheology (Chidiac et al. 2000).
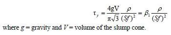
The test is based on an analytical treatment of the slump test. It can be shown analytically that the yield stress of concrete is a function of concrete density, Ï , and the horizontal slump flow of the concrete, Sf, as shown in Equation [5]:


Based on the above two equations, the fundamental rheological constants can be determined by measuring slump, slump flow, and slump time. The SLRM is a computer-controlled device that measures these three variables. After the slump cone is manually filled, a motor lifts the slump cone at a constant rate in compliance with ASTM C143. A plate rests on top of the concrete cone and is attached to a displacement transducer to record slump versus time. The device must be calibrated to take into account the friction between the concrete and the slump cone and the effect of the weight of the rod and plate attached to the displacement transducer.
Tests were conducted on multiple concrete mixes with a wide range of workability in order to judge the validity of the test device. Equation [5] for yield stress and Equation [6] for plastic viscosity represented the experimental data well and provided results that were generally consistent with other experimental and analytical equations.
Advantages:
The test gives an indication of both yield stress and plastic viscosity.
The test is simpler and less expensive than traditional rheometers; however, it does
provide less information about the concrete.
Disadvantages:
The test is not a dynamic test and does not account for the thixotropy of concrete nor does it measure the ability of concrete to flow under vibration.
The test device is more complicated than the modified slump test and requires the use of a computer to log data and perform calculations.
Further testing is required to verify the validity of the test.