A dome is a three-dimensional structure generated by translation and rotation or only rotation of an arch rib. Thus a dome may be part of a sphere, ellipsoid, paraboloid, or similar curved surface.
Domes may be thin-shell or framed, or a combination. Thin-shell domes are constructed of sheet metal or plate, braced where necessary for stability, and are capable of transmitting loads in more than two directions to supports. The surface is substantially continuous from crown to supports. Framed domes, in contrast, consist of interconnected structural members lying on the dome surface or with points of intersection lying on the dome surface. In combination construction, covering material may be designed to participate with the framework in resisting dome stresses.
Plate domes are highly efficient structurally when shaped, proportioned and supported to transmit loads without bending or twisting. Such domes should satisfy the following conditions:
The plate should not be so thin that deformations would be large compared with the
thickness. Shearing stresses normal to the surface should be negligible. Points on a normal to the surface before it is deformed should lie on a straight line after deformation. And this line should be normal to the deformed surface.
Stress analysis usually is based on the membrane theory, which neglects bending and torsion. Despite the neglected stresses, the remaining stresses are in equilibrium, except possibly at boundaries, supports, and discontinuities. At any interior point of a thin-shell dome, the number of equilibrium conditions equals the number of unknowns. Thus, in the membrane theory, a plate dome is statically determinate.
The membrane theory, however, does not hold for certain conditions: concentrated loads normal to the surface and boundary arrangements not compatible with equilibrium or geometric requirements. Equilibrium or geometric incompatibility induces bending and torsion in the plate. These stresses are difficult to compute even for the simplest type of shell and loading, yet they may be considerably larger than the membrane stresses. Consequently, domes preferably should be designed to satisfy membrane theory as closely as possible.
Make necessary changes in dome thickness gradual. Avoid concentrated and abruptly changing loads. Change curvature gradually. Keep discontinuities to a minimum. Provide reactions that are tangent to the dome. Make certain that the reactions at boundaries are equal in magnitude and direction to the shell forces there. Also, at boundaries, ensure, to the extent possible, compatibility of shell deformations with deformations of adjoining members, or at least keep restraints to a minimum. A common procedure is to use as a support a husky ring girder and to thicken the shell gradually in the vicinity of this support. Similarly, where a circular opening is provided at the crown, the opening usually is reinforced with a ring girder, and the plate is made thicker than necessary for resisting membrane stresses.
Dome surfaces usually are generated by rotating a plane curve about a vertical axis, called the shell axis. A plane through the axis cuts the surface in a meridian, whereas a plane normal to the axis cuts the surface in a circle, called a parallel (Fig. 4.5a). For stress analysis, a coordinate system for each point is chosen with the x axis tangent to the meridian, y axis
tangent to the parallel, and z axis normal to the surface. The membrane forces at the point are resolved into components in the directions of these axes (Fig. 4.5b).
Location of a given point P on the surface is determined by the angle @ between the shell axis and the normal through P and by the angle between the radius through P of the parallel on which P lies and a fixed reference direction. Let r be the radius of curvature of the meridian. Also, let r, the length of the shell normal between P and the shell axis, be the radius of curvature of the normal section at P. Then,
![]()
where a is the radius of the parallel through P.
Figure 4.5b shows a differential element of the dome surface at P. Normal and shear
forces are distributed along each edge. They are assumed to be constant over the thickness of the plate. Thus, at P, the meridional unit force is N, the unit hoop force N, and the unit shear force T. They act in the direction of the x or y axis at P. Corresponding unit stresses at P are N / t, N / t, and T/ t, where t is the plate thickness.
Assume that the loading on the element per unit of area is given by its X, Y, Z components in the direction of the corresponding coordinate axis at P. Then, the equations of equilibrium for a shell of revolution are

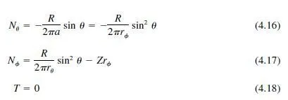
When the loads also are symmetrical about the shell axis, Eqs. (4.15) take a simpler form and are easily solved, to yield

where R is the resultant of total vertical load above parallel with radius a through point P at which stresses are being computed.

The hoop forces are compressive in the upper part of the shell, reduce to zero at 51 50, and become tensile in the lower part.
A ring girder usually is provided along the lower boundary of a dome to resist the tensile hoop forces. Under the membrane theory, however, shell and girder will have different strains. Consequently, bending stresses will be imposed on the shell. Usual practice is to thicken the shell to resist these stresses and provide a transition to the husky girder.
Similarly, when there is an opening around the crown of the dome, the upper edge may
be thickened or reinforced with a ring girder to resist the compressive hoop forces. The meridional thrust may be computed from

