The AISI Specification gives separate provisions for cylindrical members, but they apply only if the ratio of outside diameter-to-wall thickness, D/ t is not greater than 0.441 E/Fy.
Flexure
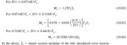
Cylinders with small D/ t ratios can develop their plastic moment strength while those with greater D/ t ratios will develop smaller capacities. The nominal flexural strength, Mn, is calculated from the following equations, the selection of which depends on the D/ t ratio:
Axial Compression
The nominal axial strength of round tubes is calculated from the same column equations as for other members, Eqs. 10.5810.60 of Art. 10.14, with the following exception. The effective area, Ae, is

Torsional or flexural-torsional buckling need not be checked for cylindrical members. However, combined axial load and bending must be checked as for other members (Art. 10.15).
