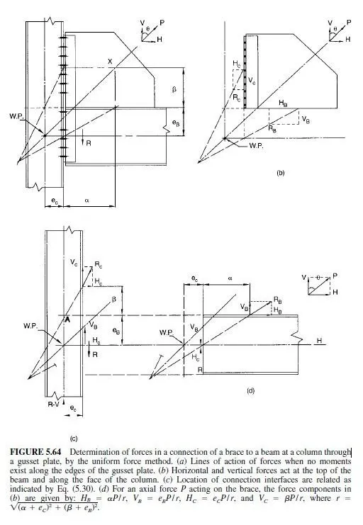
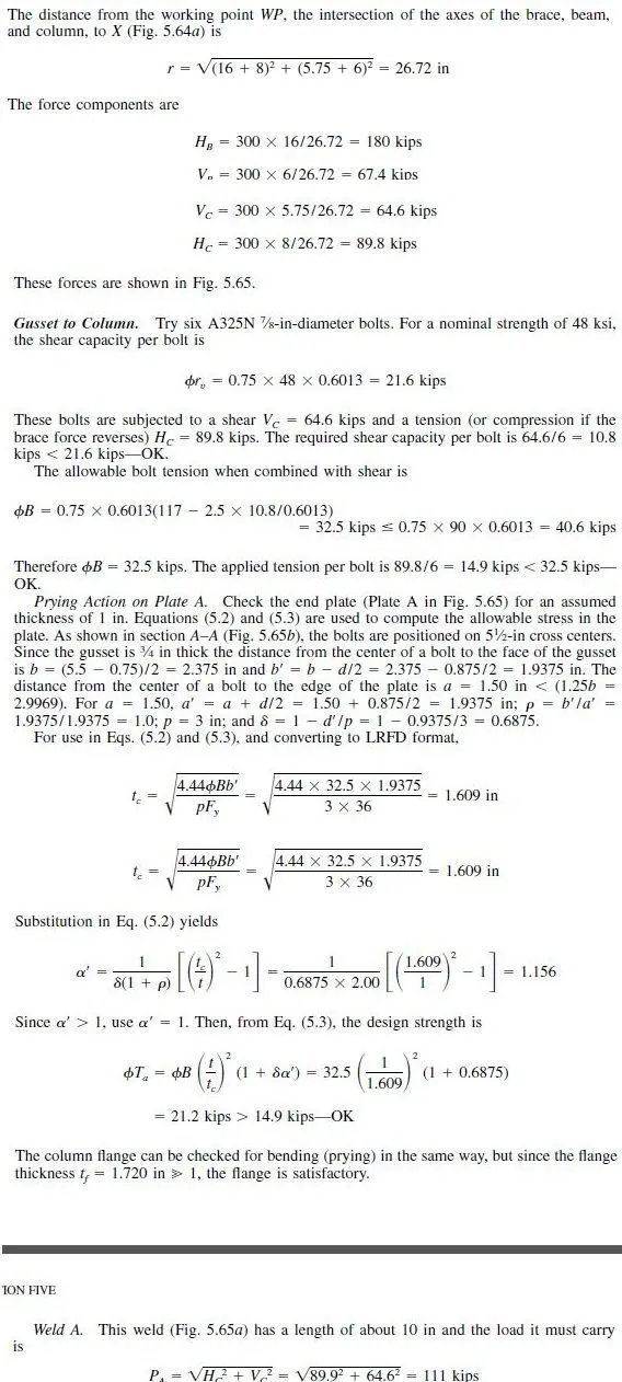
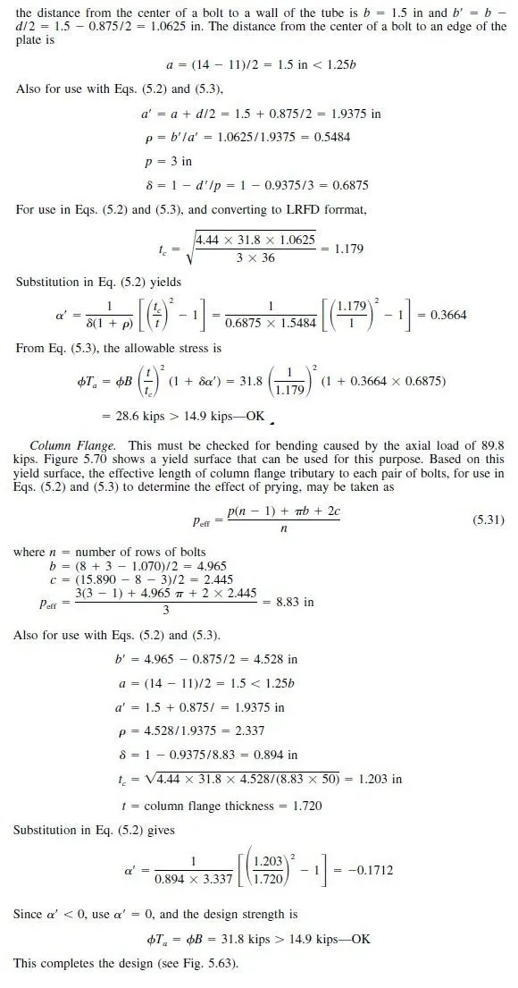
The lateral force-resisting system of large buildings is sometimes provided by a vertical truss with connections such as that in Fig. 5.63. The design of this connection is demonstrated in the following example by a method adopted by the AISC, the uniform-force method, the force distributions of which are indicated in Fig. 5.64. The method requires that only uniform forces, no moments, exist along the edges of the gusset plate used for the connection.
Example AISC LRFD. Design the bracing connection of Fig. 5.63 for the factored loads
shown. The column is to be made of grade 50 steel and other steel components of A36 steel.
This connection comprises four connection interfaces: diagonal brace to gusset plate, gusset plate to column, gusset plate to beam, and beam to column. Use the AISC LRFD specification.











