Uniformly Compressed Stiffened Elements
The effective width for load capacity determination depends on a slenderness factor defined as

where k = plate buckling coefficient (4.0 for stiffened elements supported by a web along each longitudinal edge; values for other conditions are given subsequently)
Æ’ = maximum compressive stress (with no safety factor applied)
E = Modulus of elasticity (29,500 ksi or 203 000 MPa)
For flexural members, when initial yielding is in compression, Æ’ = Fy , where Fy is the yield stress; when the initial yielding is in tension, Æ’ = the compressive stress determined on the basis of effective section. For compression members, Æ’ = column buckling stress.
The effective width is as follows:
Figure 10.4 shows the location of the effective width on the cross section, one-half located adjacent to each edge.
Effective widths determined in this manner, based on maximum stresses (no safety factor) define the cross section used to calculate section properties for strength determination. However, at service load levels, the effective widths will be greater because the stresses are smaller, and another set of section properties should be calculated. Therefore, to calculate effective width for deflection determination, use the above equations but in Eq. 10.4, substitute the compressive stress at design loads, Æ’d.
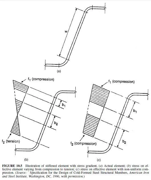
Stiffened Elements with Stress Gradient
Elements with stress gradients include webs subjected to compression from bending alone or from a combination of bending and uniform compression. For load capacity determination, the effective widths b1 and b2 illustrated in Fig. 10.5 must be determined. First, calculate the ratio of stresses



The sum of b1 and b2 must not exceed the width of the compression portion of the web calculated on the basis of effective section.
Effective width for deflection determination is calculated in the same manner except that stresses are calculated at service load levels based on the effective section at that load.
