Compressive forces can produce local or overall buckling failures in a steel member. Overall buckling is the out-of-plane bending exhibited by an axially loaded column or beam (Art. 6.17). Local buckling may manifest itself as a web failure beneath a concentrated load or over a reaction or as buckling of a flange or web along the length of a beam or column.
Local Buckling
Local buckling characteristics of the cross section of a member subjected to compression may affect its strength. With respect to potential for local buckling, sections may be classified as compact, noncompact, or slender-element (Art. 6.23).
Axial Compression
Design of members that are subjected to compression applied through the centroidal axis (axial compression) is based on the assumption of uniform stress over the gross area. This concept is applicable to both load and resistance factor design (LRFD) and allowable stress design (ASD).
Design of an axially loaded compression member or column for both LRFD and ASD utilizes the concept of effective column length KL. The buckling coefficient K is the ratio of the effective column length to the unbraced length L. Values of K depend on the support conditions of the column to be designed. The AISC specifications for LRFD and ASD indicate that K should be taken as unity for columns in braced frames unless analysis indicates that a smaller value is justified. Analysis is required for determination of K for unbraced frames, but K should not be less than unity. Design values for K recommended by the Structural Stability Research Council for use with six idealized conditions of rotation and translation at column supports are illustrated in Fig. 6.4 (see also Arts. 7.4 and 7.9).
The axially compression strength of a column depends on its stiffness measured by the slenderness ratio KL/ r, where r is the radius of gyration about the plane of buckling. For serviceability considerations, AISC recommends that KL/ r not exceed 200.
LRFD strength for a compression member wf;Pn (kips) is given by

Concentrated Loads on Beams
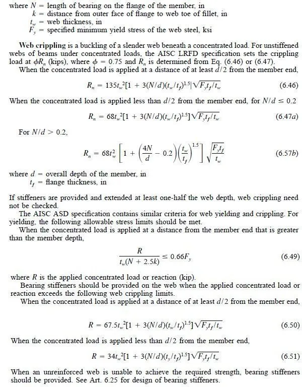
Large concentrated loads or reactions on flexural members may cause their webs to fail by yielding or crippling unless the webs are made sufficiently thick to preclude this or are assisted by bearing stiffeners. Also, adequate bearing length should be provided on the flange of the member.
Web yielding manifests as a stress concentration in a web beneath a concentrated load.
The AISC LRFD specification for structural steel buildings limits the design strength of the web at the toe of the fillet under a concentrated load to Rn (kips), where 1.0 and Rn is determined from Eq. (6.44) or (6.45).
When the concentrated loads is applied at a distance from the end of the member greater than the member depth,


